PROTAC BTK Degrader-6

PROTAC BTK Degrader-6

PROTAC VEGFR-2 degrader-1

PROTAC VEGFR-2 degrader-1

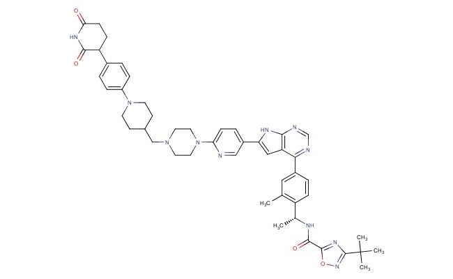
PROTAC BTK Degrader-11

$200.00
CAS No.: 2736508-94-2
Catalog No.: YQF1991
Purity: 95%
MF: C48H55N11O4
MW: 850.041
Storage: 2-8 degree Celsius
SMILES: C(C)(C)(C)C1=NOC(=N1)C(=O)N[C@H](C)C1=C(C=C(C=C1)C=1C2=C(N=CN1)NC(=C2)C=2C=NC(=CC2)N2CCN(CC2)CC2CCN(CC2)C2=CC=C(C=C2)C2C(NC(CC2)=O)=O)C
For R&D use only. Not for human or animal use.
Availability:
In stock
SKU
YQF1991
  • Size
    Price
    Stock
    Estimated Shipping Time

Reviews

Write Your Own Review
You're reviewing:PROTAC BTK Degrader-11
Your Rating