Zomiradomide(KT413)

Zomiradomide(KT413)

PROTAC IRAK4 degrader-4

PROTAC IRAK4 degrader-4

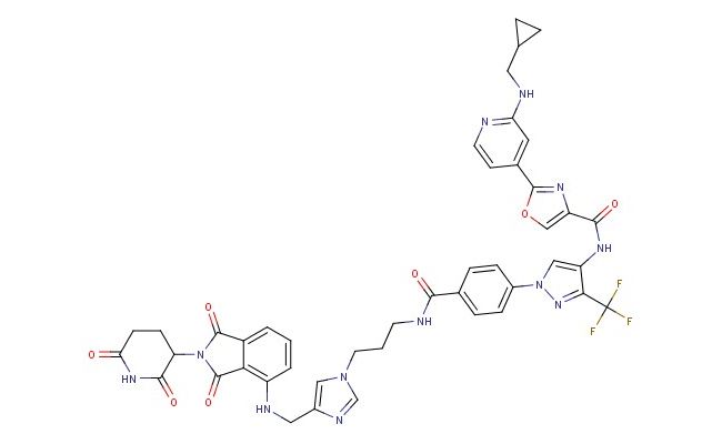
IRAK4 PROTAC compound I-210

$300.00
CAS No.: 2360533-90-8
Catalog No.: 201556
Purity: 95%
MF: C44H39F3N12O7
MW: 904.867
Storage: 2-8 degree Celsius
SMILES: C1(CC1)CNC1=NC=CC(=C1)C=1OC=C(N1)C(=O)NC=1C(=NN(C1)C1=CC=C(C=C1)C(NCCCN1C=NC(=C1)CNC1=C2C(N(C(C2=CC=C1)=O)C1C(NC(CC1)=O)=O)=O)=O)C(F)(F)F
For R&D use only. Not for human or animal use.
Availability:
In stock
SKU
201556
  • Size
    Price
    Stock
    Estimated Shipping Time

Reviews

Write Your Own Review
You're reviewing:IRAK4 PROTAC compound I-210
Your Rating