PROTAC BRD4 Degrader-15

PROTAC BRD4 Degrader-15

PROTAC CBP/P300 Degrader-1

PROTAC CBP/P300 Degrader-1

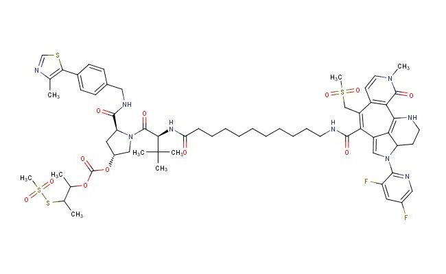
PROTAC BRD4 Degrader-12

$0.00
CAS No.: 2417370-90-0
Catalog No.: YQF1959
Purity: 95%
MF: C62H79F2N9O12S4
MW: 1308.629
Storage: 2-8 degree Celsius
SMILES: CS(=O)(SC(C)C(C)OC(=O)O[C@H]1CN([C@@H](C1)C(NCC1=CC=C(C=C1)C1=C(N=CS1)C)=O)C([C@H](C(C)(C)C)NC(CCCCCCCCCCNC(=O)C1=C(C2=C(C3=C4C(N(C=C14)C1=NC=C(C=C1F)F)CCN3)C(N(C=C2)C)=O)CS(=O)(=O)C)=O)=O)=O
For R&D use only. Not for human or animal use.
Availability:
In stock
SKU
YQF1959
  • Size
    Price
    Stock
    Estimated Shipping Time

Reviews

Write Your Own Review
You're reviewing:PROTAC BRD4 Degrader-12
Your Rating