PROTAC BRD4 Degrader-8

PROTAC BRD4 Degrader-8

PROTAC BRD4 Degrader-22

PROTAC BRD4 Degrader-22

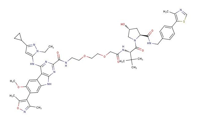
PROTAC BET degrader-3

$0.00
CAS No.: 3031993-61-7
Catalog No.: YQF2023
Purity: 95%
MF: C53H64N12O9S
MW: 1045.237
Storage: 2-8 degree Celsius
SMILES: C1(CC1)C1=NN(C(=C1)NC1=NC(=NC=2NC3=CC(=C(C=C3C21)OC)C=2C(=NOC2C)C)C(=O)NCCOCCOCC(=O)N[C@H](C(=O)N2[C@@H](C[C@H](C2)O)C(NCC2=CC=C(C=C2)C2=C(N=CS2)C)=O)C(C)(C)C)CC
For R&D use only. Not for human or animal use.
Availability:
In stock
SKU
YQF2023
  • Size
    Price
    Stock
    Estimated Shipping Time

Reviews

Write Your Own Review
You're reviewing:PROTAC BET degrader-3
Your Rating