PROTAC BRD9 Degrader-6

PROTAC BRD9 Degrader-6

PROTAC BRD9 Degrader-5

PROTAC BRD9 Degrader-5

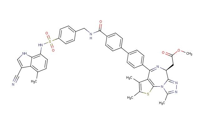
IBG1

$0.00
CAS No.: 2684292-71-3
Catalog No.: YQF1988
Purity: 95%
MF: C44H38N8O5S2
MW: 822.973
Storage: 2-8 degree Celsius
SMILES: C(#N)C1=CNC2=C(C=CC(=C12)C)NS(=O)(=O)C1=CC=C(CNC(=O)C2=CC=C(C=C2)C2=CC=C(C=C2)C2=N[C@H](C=3N(C4=C2C(=C(S4)C)C)C(=NN3)C)CC(=O)OC)C=C1
For R&D use only. Not for human or animal use.
Availability:
In stock
SKU
YQF1988
  • Size
    Price
    Stock
    Estimated Shipping Time

Reviews

Write Your Own Review
You're reviewing:IBG1
Your Rating