MB-07811 (VK-2809)

MB-07811 (VK-2809)

Danuglipron (PF-06882961)

Danuglipron (PF-06882961)

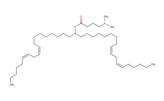
D-Lin-MC3-DMA (MC3)

$450.00
CAS No.: 1224606-06-7
Catalog No.: 193676
Purity: 95%
MF: C43H79NO2
MW: 642.11
Storage: 2-8 degree Celsius
SMILES: CN(CCCC(=O)OC(CCCCCCCC\C=C/C\C=C/CCCCC)CCCCCCCC\C=C/C\C=C/CCCCC)C
For R&D use only. Not for human or animal use.
Availability:
In stock
SKU
193676
  • Size
    Price
    Stock
    Estimated Shipping Time
(6Z,9Z,28Z,31Z)-heptatriaconta-6,9,28,31-tetraen-19-yl 4-(dimethylamino)butanoate; CAS No.: 1224606-06-7 ChemShuttle s CRO chemical synthesis services include the development of heterocycles for agrochemical and pharmaceutical applications.

Reviews

Write Your Own Review
You're reviewing:D-Lin-MC3-DMA (MC3)
Your Rating