(S,R,S)-AHPC-C3-NH2 dihydrochloride

(S,R,S)-AHPC-C3-NH2 dihydrochloride

(S,R,S)-AHPC-PEG2-NHS ester

(S,R,S)-AHPC-PEG2-NHS ester

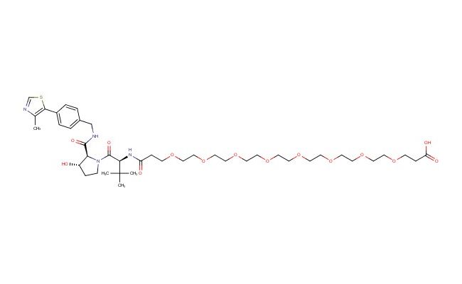
(S,R,S)-AHPC-PEG8-acid

$0.00
CAS No.: 2428400-60-4
Catalog No.: 198552
Purity: 95%
MF: C42H66N4O14S
MW: 883.071
Storage: 2-8 degree Celsius
SMILES: O[C@@H]1[C@H](N(CC1)C(=O)[C@@H](NC(CCOCCOCCOCCOCCOCCOCCOCCOCCC(=O)O)=O)C(C)(C)C)C(NCC1=CC=C(C=C1)C1=C(N=CS1)C)=O
For R&D use only. Not for human or animal use.
Availability:
In stock
SKU
198552
  • Size
    Price
    Stock
    Estimated Shipping Time

Reviews

Write Your Own Review
You're reviewing:(S,R,S)-AHPC-PEG8-acid
Your Rating